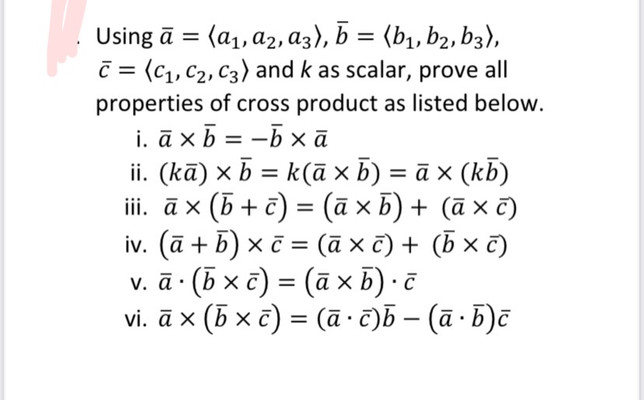
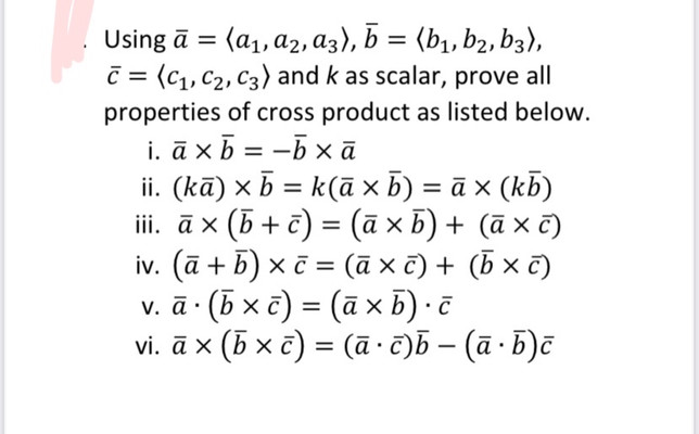
Question: Using a = (a1, a2, a3), b = (b1, b2, b3), C = (C1, C2, C3) and k as scalar, prove all properties of cross


Using a = (a1, a2, a3), b = (b1, b2, b3), C = (C1, C2, C3) and k as scalar, prove all properties of cross product as listed below. i. axb = -bxa ii. (ka) x b = k(axb) = ax (kb) iii. ax (b+ c) = (axb) + (axc) iv. (a+b) xc = (axc) + (bxc) v. a . (b xc) = (axb) . c vi. ax (b x c) = (a . c)b - (a . b)c
Step by Step Solution
There are 3 Steps involved in it
Get step-by-step solutions from verified subject matter experts
