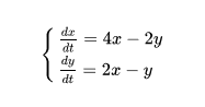
Question: Using a MATLAB code: Consider the following system of simultaneous ODE's with the initial conditions x(0)=2 and y(0)=1. Symbolically solve for x ( t )
Using a MATLAB code:
Consider the following system of simultaneous ODE's with the initial conditions x(0)=2 and y(0)=1.

Symbolically solve for x ( t ) and y ( t ) , and then display the results using a combination of the simplify and pretty commands.
2y 2
Step by Step Solution
There are 3 Steps involved in it
Get step-by-step solutions from verified subject matter experts
