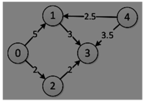
Question: Using C++ impletement Dijkra's algorithm to find shortest path from a source vertex to a destination vertex. The input will be a txt file like
Using C++ impletement Dijkra's algorithm to find shortest path from a source vertex to a destination vertex.
The input will be a txt file like this:

which look like this:

The example out put will be like this(with a makefile):

No need to provide the makefile, just the main.cpp and the header file.
Thanks!
000055 522323 123313 002144
Step by Step Solution
There are 3 Steps involved in it
Get step-by-step solutions from verified subject matter experts
