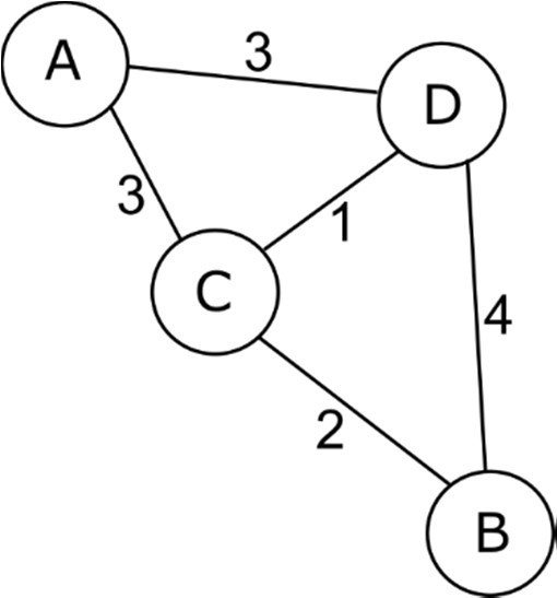
Question: Using Distance-Vector algorithm, show the minimum distance table entries at router A in Figure 2. 014 B 1 2 3 3
Using Distance-Vector algorithm, show the minimum distance table entries at router A in Figure 2. 
014 B 1 2 3 3
Step by Step Solution
There are 3 Steps involved in it
Get step-by-step solutions from verified subject matter experts
