Question: Using excel or rstudio please show how to solve the following. 1. a. Calculate a 95% confidence interval for 1 . b. .Find a test
Using excel or rstudio please show how to solve the following.
1.
a. Calculate a 95% confidence interval for 1 .
b. .Find a test statistic and p-value for testing H 0 : 1 = 0 vs. H a : 1 > 0.
c. Calculate a 95% confidence interval for Y |X when x = 4.
d. Calculate a 95% prediction interval for Y when x = 2.

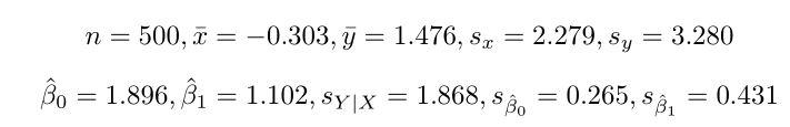
n=500,x=0.303,y=1.476,sx=2.279,sy=3.280 ^0=1.896,^1=1.102,sYX=1.868,s^0=0.265,s^1=0.431
Step by Step Solution
There are 3 Steps involved in it
Get step-by-step solutions from verified subject matter experts
