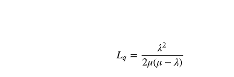
Question: Using formula Lq=2()2 One worker in a bakery is responsible for loading and unloading five ovens. Service duration is 14 minutes and an oven will
Using formula 

Lq=2()2 One worker in a bakery is responsible for loading and unloading five ovens. Service duration is 14 minutes and an oven will operate for 55 minutes before it needs to be emptied. What is the average number of ovens waiting to be serviced? Multiple Choice 1.561 0.566 0.995 1.230
Step by Step Solution
There are 3 Steps involved in it
Get step-by-step solutions from verified subject matter experts
