Question: USING MATLAB Instructions Below 1. Optimal Non-uniform Quantization Consider a Gaussian source with zero mean and unit variance. Using the Lloyd-Max algorithm, design an optimal
USING MATLAB

Instructions Below

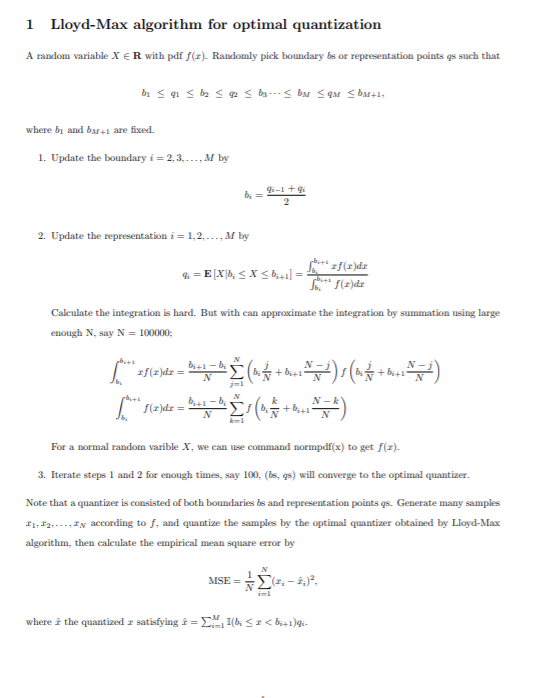
1. Optimal Non-uniform Quantization Consider a Gaussian source with zero mean and unit variance. Using the Lloyd-Max algorithm, design an optimal quantizer with M = 2n levels. Let 41, ...,M be the quantization points and let -10, 61, 62, ..., 6M-1, +10 be the decision boundaries. For n = 2 and n = 3, compute qs and bs and the corresponding mean squared error. Do you see that the mean squared error improves going from 2 bits to 3 bits? Generate many samples of the Gaussian random variable and quantize it using the quantizer you have designed in the previous part. Compute the mean squared error empirically and see that it matches with what you ob- tained in the previous part. For your own interest (do not have to turn it in) - for n = 10 and n=11 design the optimal quantizer and compute the SQNR. Do you see that your SQNR increases by 6 dB? 1 Lloyd-Max algorithm for optimal quantization A random variable X ER with pdf f(x). Randomly pick boundary bs or representation points qs such that by Sasbe se sbsbu SM Sat. where by and bar are fixed. 1. Update the boundary i=2.3..... by 2. Update the representation i = 1.2. ---,M by
Step by Step Solution
There are 3 Steps involved in it
Get step-by-step solutions from verified subject matter experts
