Question: Using PYTHON: In this project you will analyze data taken by students in a Modern Physics lab using the Thomson apparatus in order to measure
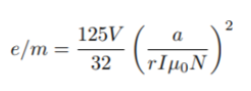
Using PYTHON: In this project you will analyze data taken by students in a Modern Physics lab using the Thomson apparatus in order to measure the charge-to-mass ratio of the electron. In the experiment a beam of electrons moves in a circle in a magnetic field created by Helmholtz coils. The radius of the circle r is measured as a function of accelerating voltage V and Helmholtz coil current I. The charge-to-mass ratio e/m for the electrons can be shown to be

where a = 0.15m is the radius of the Helmholtz coils, N = 130 is the number of turns in the coils, and 0 = 1.26106 Tm/A is the permeability constant. There are two sets of measurements on Canvas in the files em1.dat and em2.dat. The columns in both files are V in volts, I in amps, and r in cm (remember to convert r to meters to make the units work). First, calculate a column of e/m values for each file. (please show code)
| em1.dat | em2.dat |
| V I r 299.9 1.492 5.15 313.7 1.480 5.25 322.5 1.482 5.35 332.8 1.480 5.15 215.1 1.236 5.05 221.2 1.221 5.15 230.4 1.252 5.2 201.7 1.191 5.05 304.7 1.570 5.05 318.0 1.451 5.25 348.9 1.594 5.1 343.3 1.506 5.2 322.6 1.460 5.2 289.9 1.445 5.15 341.6 1.665 4.9 264.5 1.665 4.35 300.1 1.562 5.1 200.4 1.283 4.9 263.8 1.512 4.7 336.5 1.522 5.65 | V I r 250 1.546 4.45 255 1.540 4.45 260 1.534 4.5 265 1.533 4.5 270 1.532 4.53 275 1.528 4.58 280 1.526 4.63 285 1.527 4.65 290 1.525 4.73 295 1.642 4.5 300 1.642 4.49 305 1.641 4.53 310 1.640 4.55 315 1.670 4.5 320 1.671 4.53 325 1.669 4.6 330 1.669 4.64 335 1.743 4.46 340 1.743 4.5 345 1.743 4.52 350 1.742 4.55 |
2 125Va
Step by Step Solution
There are 3 Steps involved in it
Get step-by-step solutions from verified subject matter experts
