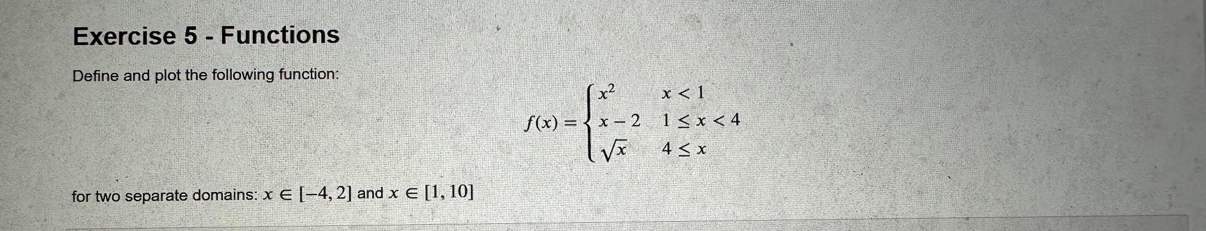
Question: Using Python solve this question. Attach the output Exercise 5 - Functions Define and plot the following function: f(x)=x2x2xx Exercise 5 - Functions Define and

Using Python solve this question. Attach the output
Exercise 5 - Functions Define and plot the following function: f(x)=x2x2xx
Exercise 5 - Functions Define and plot the following function: for two separate domains: x G 4, 2] and* e [19 101
Step by Step Solution
There are 3 Steps involved in it
Get step-by-step solutions from verified subject matter experts
