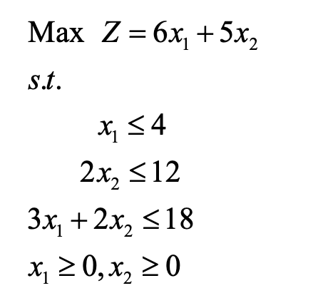
Question: Using simplex method to solve the LP problem above, all iterations should be included. [10 points]. Max Z = 6x2 + 5x2 s.t. x x

Using simplex method to solve the LP problem above, all iterations should be included. [10 points].
Max Z = 6x2 + 5x2 s.t. x x 54 2x, 512 3x, + 2x2 =18 x, 20,x, 20 xStep by Step Solution
There are 3 Steps involved in it
Get step-by-step solutions from verified subject matter experts
