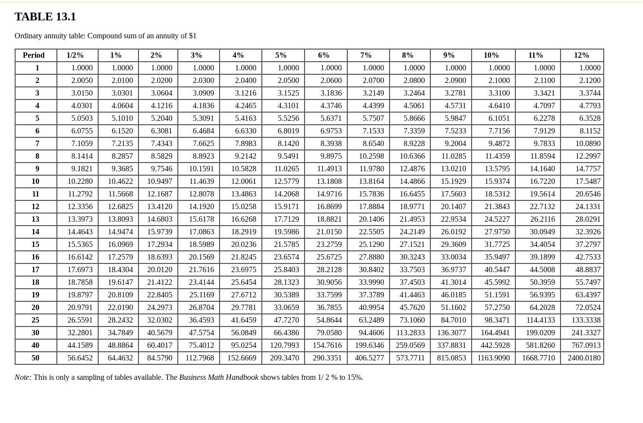
Question: Using the annuity table, complete the following. ( Use Table 1 3 . 1 . ) Payment amount end of each period $ 1 3
Using the annuity table, complete the following. Use Table Payment amount end of each period $ Frequency of payment annually length of time years interest rate what is the FV of the annuity?
Note: Round your answer to the nearest cent.
Step by Step Solution
There are 3 Steps involved in it
1 Expert Approved Answer
Step: 1 Unlock
Question Has Been Solved by an Expert!
Get step-by-step solutions from verified subject matter experts
Step: 2 Unlock
Step: 3 Unlock
