Question: Using the C or C++ coding language or most easily done with MatLab write a program that does the following Included is this First order
Using the C or C++ coding language or most easily done with MatLab write a program that does the following
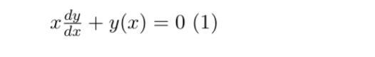
Included is this First order ODE

Here begins the question it is all one question but stepped out for ease of understanding
(simple Euler refers to simple Euler method)
![[ yleft(x_{o}+hight)=yleft(x_{o}ight)-h frac{yleft(x_{o}ight)}{x_{o}}(3) ] 2-b) Implement a program to evaluate](https://dsd5zvtm8ll6.cloudfront.net/si.experts.images/questions/2022/09/6333dfc6ad33a_1664344242494.png)
When it asks for plots it is asking for a graph of the results
xz + y(x) = 0 (1)
Step by Step Solution
3.55 Rating (159 Votes )
There are 3 Steps involved in it
song CLK 3... View full answer
Get step-by-step solutions from verified subject matter experts
