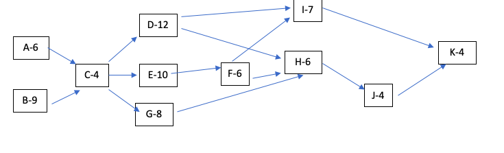
Question: Using the expected activity times as the normal times and the following crashing information, determine the activity crashing decisions and revised activity schedule for the
Using the expected activity times as the normal times and the following crashing information, determine the activity crashing decisions and revised activity schedule for the warehouse expansion project.
| Activity | Expected time | Crashed Activity Time (weeks) | Cost $ | Crash Cost per week | |
| Normal | Crashed | ||||
| A | 6 | 4 | 1,000 | 1,900 | |
| B | 9 | 7 | 1,000 | 1,800 | |
| C | 4 | 2 | 1,500 | 2,700 | |
| D | 12 | 8 | 2,000 | 3,200 | |
| E | 10 | 7 | 5,000 | 8,000 | |
| F | 6 | 4 | 3,000 | 4,100 | |
| G | 8 | 5 | 8,000 | 10,250 | |
| H | 6 | 4 | 5,000 | 6,400 | |
| I | 7 | 4 | 10,000 | 12,400 | |
| J | 4 | 3 | 4,000 | 4,400 | |
| K | 4 | 3 | 5,000 | 5,500 | |

Step by Step Solution
There are 3 Steps involved in it
Get step-by-step solutions from verified subject matter experts
