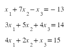
Question: Using the Gauss-Jordan elimination algorithm, please help me find the values of x 1 , x 2 , and x 3 for this system of
Using the Gauss-Jordan elimination algorithm, please help me find the values ofx1,x2, andx3for this system of linear equations.


\f\f
Step by Step Solution
There are 3 Steps involved in it
Get step-by-step solutions from verified subject matter experts
