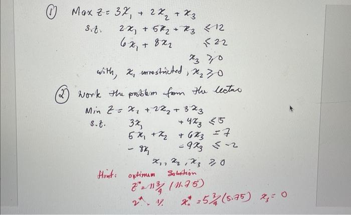
Question: using the simplex method, solve the below using artificial variables to find the optimal solution Maxz=3x1+2x2+x3s.t.2x1+5x2+x36x1+8x2x312220 with, x1 connestricted, x20 (2) Work the problem from
Maxz=3x1+2x2+x3s.t.2x1+5x2+x36x1+8x2x312220 with, x1 connestricted, x20 (2) Work the problem from the lectro Minz=s.t.x1+2x2+3x33x3+4x355x1+x2+6x3=78x19x32
Step by Step Solution
There are 3 Steps involved in it
Get step-by-step solutions from verified subject matter experts
