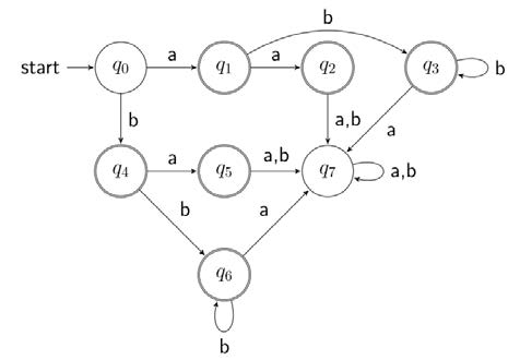
Question: Using the table-filling algorithm, construct a Minimized DFA with the following DFA: (q1, q2, q3, q4, q5 and q6 are all final states) Start q1
Using the table-filling algorithm, construct a Minimized DFA with the following DFA:
(q1, q2, q3, q4, q5 and q6 are all final states)


Start q1 a,b a b (13 a,b
Step by Step Solution
There are 3 Steps involved in it
Get step-by-step solutions from verified subject matter experts
