Question: Using the ULTIMATE mortality rates in Appendix D, i = 7%, and the following random variable: PV of annuity of $1,000 per year payable annually,




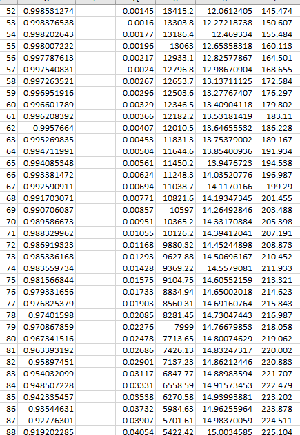
Using the ULTIMATE mortality rates in Appendix D, i = 7%, and the following random variable: PV of annuity of $1,000 per year payable annually, starting today, while a life now aged 30 stays alive Note: Px values from Appendix D are shown here in colunns N-O, for convenience Find: expected value variance Your client plans to sell 100 of these annuities to lives aged 30 (enough for the Central Limit Theorem to apply). Find the 95% confidence interval for the AVERAGE present value of the 100 annuities: low end high end 0.07 Appendix D Ultimate PX P(death) , RV RV? 20 0.999750361 21 0.999746683 22 0.999742549 23 0.999737902 24 0.999732679 25 0.999726808 26 0.999720209 27 0.999712792 28 0.999704456 29 0.999695086 30 0.999684554 31 0.999672716 32 0.999659411 33 0.999644456 34 0.999627647 35 0.999608754 36 0.999587518 37 0.99956365 38 0.999536823 39 0.99950667 40 0.99947278 41 0.999434688 42 0.999391874 43 0.999343754 44 0.99928967 45 0.999228883 46 0.999160563 47 0.999083776 48 0.998997475 49 0.998900482 50 0.998791473 51 0.99866896 0.00032 14779.9 1 1 0.00033 14749.1 1.934579439 3.7426 0.00034 14716.4 2.808018168 7.88497 0.00036 14681.5 3.624316044 13.1357 0.00037 14644.5 4.387211256 19.2476 0.00039 14605 5.100197436 26.012 0.00041 14563.1 5.76653966 33.253 0.00044 14518.5 6.389289402 40.823 0.00046 14471.1 6.971298506 48.599 0.00049 14420.7 7.515232249 56.4787 0.00053 14367.3 8.023581541 64.3779 0.00056 14310.5 8.498674337 72.2275 0.00061 14250.3 8.942686297 79.9716 0.00065 14186.5 9.357650744 87.5656 0.00071 14118.8 9.745467985 94.9741 0.00077 14047.1 10.10791401 102.17 0.00083 13971.1 10.4466486 109.132 0.00091 13890.8 10.76322299 115.847 0.00099 13805.8 11.05908691 122.303 0.00109 13715.9 11.33559524 128.496 0.00119 13621 11.59401425 134.421 0.00131 13520.8 11.83552733 140.08 52 0.998531274 53 0.998376538 54 0.998202643 55 0.998007222 56 0.997787613 57 0.997540831 58 0.997263521 59 0.996951916 60 0.996601789 61 0.996208392 62 0.9957664 63 0.995269835 64 0.994711991 65 0.994085348 66 0.993381472 67 0.992590911 68 0.991703071 69 0.990706087 70 0.989586673 71 0.988329962 72 0.986919323 73 0.985336168 74 0.983559734 75 0.981566844 76 0.979331656 77 0.976825379 78 0.97401598 79 0.970867859 80 0.967341516 81 0.963393192 82 0.95897451 83 0.954032099 84 0.948507228 85 0.942335457 86 0.93544631 87 0.92776301 88 0.919202285 0.00145 0.0016 0.00177 0.00196 0.00217 0.0024 0.00267 0.00296 0.00329 0.00366 0.00407 0.00453 0.00504 0.00561 0.00624 0.00694 0.00771 0.00857 0.00951 0.01055 0.01168 0.01293 0.01428 0.01575 0.01733 0.01903 0.02085 0.02276 0.02478 0.02686 0.02901 0.03117 0.03331 0.03538 0.03732 0.03907 0.04054 13415.2 12.0612405 145.474 13303.8 12.27218738 150.607 13186.4 12.469334 155.484 13063 12.65358318 160.113 12933.1 12.82577867 164.501 12796.8 12.98670904 168.655 12653.7 13.13711125 172.584 12503.6 13.27767407 176.297 12346.5 13.40904118 179.802 12182.2 13.53181419 183.11 12010.5 13.64655532 186.228 11831.3 13.75379002 189.167 11644.6 13.85400936 191.934 11450.2 13.9476723 194.538 11248.3 14.03520776 196.987 11038.7 14.1170166 199.29 10821.6 14.19347345 201.455 10597 14.26492846 203.488 10365.2 14.33170884 205.398 10126.2 14.39412041 207.191 9880.32 14.45244898 208.873 9627.88 14.50696167 210.452 9369.22 14.5579081 211.933 9104.75 14.60552159 213.321 8834.94 14.65002018 214.623 8560.31 14.69160764 215.843 8281.45 14.73047443 216.987 7999 14.76679853 218.058 7713.65 14.80074629 219.062 7426.13 14.83247317 220.002 7137.23 14.86212446 220.883 6847.77 14.88983594 221.707 6558.59 14.91573453 222.479 6270.58 14.93993881 223.202 5984.63 14.96255964 223.878 5701.61 14.98370059 224.511 5422.42 15.0034585 225.104 89 0.909674286 90 0.899082656 91 0.887324801 92 0.874292419 93 0.859872367 94 0.843947936 95 0.826400639 96 0.807112608 97 0.785969714 98 0.762865509 99 0.737706104 100 0.710416047 101 0.680945248 102 0.649276901 103 0.615436308 104 0.579500304 105 0.541606878 106 0.501964328 107 0.460859068 108 0.41866093 109 0.375824616 110 0.332885776 111 0.29045021 112 0.24917498 113 0.209740756 114 0.172815761 115 0.139013037 116 0.108844444 117 0.082676501 118 0.060694497 119 0.042881669 120 0 121 0.04166 5147.93 15.02192383 225.658 0.04234 4878.99 15.03918115 226.177 0.0425 4616.39 15.05530949 226.662 0.04208 4360.9 15.0703827 227.116 0.04101 4113.23 15.08446981 227.541 0.03927 3874.01 15.09763534 227.939 0.03687 3643.82 15.10993957 228.31 0.03385 3423.14 15.12143885 228.658 0.03032 3212.39 15.13218584 228.983 0.0264 3011.89 15.14222976 229.287 0.02228 2821.89 15.15161659 229.571 0.01814 2642.55 15.16038934 229.837 0.0142 2473.94 15.16858817 230.086 0.01063 2316.07 15.17625063 230.319 0.00757 2168.87 15.1834118 230.536 0.00509 2032.21 15.19010449 230.739 0.00322 1905.88 15.19635933 230.929 0.00189 1789.67 15.20220498 231.107 0.00103 1683.27 15.20766821 231.273 0.00051 1586.39 15.21277403 231.428 0.00023 1498.68 15.21754582 231.574 9.2E-05 1419.79 15.22200544 231.709 3.3E-05 1349.34 15.22617331 231.836 1E-05 1286.96 15.23006851 231.955 2.6E-06 1232.24 15.23370889 232.066 5.8E-07 1184.8 15.23711111 232.17 1E-07 1144.22 15.24029076 232.266 1.5E-08 1110.05 15.24326239 232.357 1.7E-09 1081.83 15.24603962 232.442 1.4E-10 1059 15.24863516 232.521 8.8E-12 1040.08 15.25106089 232.595 3.9E-13 1000 15.25332794 232.664 Using the ULTIMATE mortality rates in Appendix D, i = 7%, and the following random variable: PV of annuity of $1,000 per year payable annually, starting today, while a life now aged 30 stays alive Note: Px values from Appendix D are shown here in colunns N-O, for convenience Find: expected value variance Your client plans to sell 100 of these annuities to lives aged 30 (enough for the Central Limit Theorem to apply). Find the 95% confidence interval for the AVERAGE present value of the 100 annuities: low end high end 0.07 Appendix D Ultimate PX P(death) , RV RV? 20 0.999750361 21 0.999746683 22 0.999742549 23 0.999737902 24 0.999732679 25 0.999726808 26 0.999720209 27 0.999712792 28 0.999704456 29 0.999695086 30 0.999684554 31 0.999672716 32 0.999659411 33 0.999644456 34 0.999627647 35 0.999608754 36 0.999587518 37 0.99956365 38 0.999536823 39 0.99950667 40 0.99947278 41 0.999434688 42 0.999391874 43 0.999343754 44 0.99928967 45 0.999228883 46 0.999160563 47 0.999083776 48 0.998997475 49 0.998900482 50 0.998791473 51 0.99866896 0.00032 14779.9 1 1 0.00033 14749.1 1.934579439 3.7426 0.00034 14716.4 2.808018168 7.88497 0.00036 14681.5 3.624316044 13.1357 0.00037 14644.5 4.387211256 19.2476 0.00039 14605 5.100197436 26.012 0.00041 14563.1 5.76653966 33.253 0.00044 14518.5 6.389289402 40.823 0.00046 14471.1 6.971298506 48.599 0.00049 14420.7 7.515232249 56.4787 0.00053 14367.3 8.023581541 64.3779 0.00056 14310.5 8.498674337 72.2275 0.00061 14250.3 8.942686297 79.9716 0.00065 14186.5 9.357650744 87.5656 0.00071 14118.8 9.745467985 94.9741 0.00077 14047.1 10.10791401 102.17 0.00083 13971.1 10.4466486 109.132 0.00091 13890.8 10.76322299 115.847 0.00099 13805.8 11.05908691 122.303 0.00109 13715.9 11.33559524 128.496 0.00119 13621 11.59401425 134.421 0.00131 13520.8 11.83552733 140.08 52 0.998531274 53 0.998376538 54 0.998202643 55 0.998007222 56 0.997787613 57 0.997540831 58 0.997263521 59 0.996951916 60 0.996601789 61 0.996208392 62 0.9957664 63 0.995269835 64 0.994711991 65 0.994085348 66 0.993381472 67 0.992590911 68 0.991703071 69 0.990706087 70 0.989586673 71 0.988329962 72 0.986919323 73 0.985336168 74 0.983559734 75 0.981566844 76 0.979331656 77 0.976825379 78 0.97401598 79 0.970867859 80 0.967341516 81 0.963393192 82 0.95897451 83 0.954032099 84 0.948507228 85 0.942335457 86 0.93544631 87 0.92776301 88 0.919202285 0.00145 0.0016 0.00177 0.00196 0.00217 0.0024 0.00267 0.00296 0.00329 0.00366 0.00407 0.00453 0.00504 0.00561 0.00624 0.00694 0.00771 0.00857 0.00951 0.01055 0.01168 0.01293 0.01428 0.01575 0.01733 0.01903 0.02085 0.02276 0.02478 0.02686 0.02901 0.03117 0.03331 0.03538 0.03732 0.03907 0.04054 13415.2 12.0612405 145.474 13303.8 12.27218738 150.607 13186.4 12.469334 155.484 13063 12.65358318 160.113 12933.1 12.82577867 164.501 12796.8 12.98670904 168.655 12653.7 13.13711125 172.584 12503.6 13.27767407 176.297 12346.5 13.40904118 179.802 12182.2 13.53181419 183.11 12010.5 13.64655532 186.228 11831.3 13.75379002 189.167 11644.6 13.85400936 191.934 11450.2 13.9476723 194.538 11248.3 14.03520776 196.987 11038.7 14.1170166 199.29 10821.6 14.19347345 201.455 10597 14.26492846 203.488 10365.2 14.33170884 205.398 10126.2 14.39412041 207.191 9880.32 14.45244898 208.873 9627.88 14.50696167 210.452 9369.22 14.5579081 211.933 9104.75 14.60552159 213.321 8834.94 14.65002018 214.623 8560.31 14.69160764 215.843 8281.45 14.73047443 216.987 7999 14.76679853 218.058 7713.65 14.80074629 219.062 7426.13 14.83247317 220.002 7137.23 14.86212446 220.883 6847.77 14.88983594 221.707 6558.59 14.91573453 222.479 6270.58 14.93993881 223.202 5984.63 14.96255964 223.878 5701.61 14.98370059 224.511 5422.42 15.0034585 225.104 89 0.909674286 90 0.899082656 91 0.887324801 92 0.874292419 93 0.859872367 94 0.843947936 95 0.826400639 96 0.807112608 97 0.785969714 98 0.762865509 99 0.737706104 100 0.710416047 101 0.680945248 102 0.649276901 103 0.615436308 104 0.579500304 105 0.541606878 106 0.501964328 107 0.460859068 108 0.41866093 109 0.375824616 110 0.332885776 111 0.29045021 112 0.24917498 113 0.209740756 114 0.172815761 115 0.139013037 116 0.108844444 117 0.082676501 118 0.060694497 119 0.042881669 120 0 121 0.04166 5147.93 15.02192383 225.658 0.04234 4878.99 15.03918115 226.177 0.0425 4616.39 15.05530949 226.662 0.04208 4360.9 15.0703827 227.116 0.04101 4113.23 15.08446981 227.541 0.03927 3874.01 15.09763534 227.939 0.03687 3643.82 15.10993957 228.31 0.03385 3423.14 15.12143885 228.658 0.03032 3212.39 15.13218584 228.983 0.0264 3011.89 15.14222976 229.287 0.02228 2821.89 15.15161659 229.571 0.01814 2642.55 15.16038934 229.837 0.0142 2473.94 15.16858817 230.086 0.01063 2316.07 15.17625063 230.319 0.00757 2168.87 15.1834118 230.536 0.00509 2032.21 15.19010449 230.739 0.00322 1905.88 15.19635933 230.929 0.00189 1789.67 15.20220498 231.107 0.00103 1683.27 15.20766821 231.273 0.00051 1586.39 15.21277403 231.428 0.00023 1498.68 15.21754582 231.574 9.2E-05 1419.79 15.22200544 231.709 3.3E-05 1349.34 15.22617331 231.836 1E-05 1286.96 15.23006851 231.955 2.6E-06 1232.24 15.23370889 232.066 5.8E-07 1184.8 15.23711111 232.17 1E-07 1144.22 15.24029076 232.266 1.5E-08 1110.05 15.24326239 232.357 1.7E-09 1081.83 15.24603962 232.442 1.4E-10 1059 15.24863516 232.521 8.8E-12 1040.08 15.25106089 232.595 3.9E-13 1000 15.25332794 232.664
Step by Step Solution
There are 3 Steps involved in it
Get step-by-step solutions from verified subject matter experts
