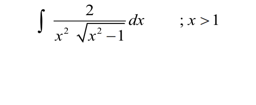
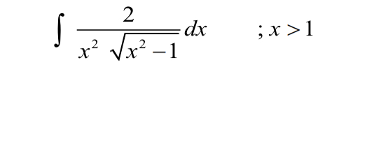
Question: using trig sub to evaluate the integral 2 dx ;x>l 2 V x2 - 1 -1 x x

using trig sub to evaluate the integral

2 dx ;x>l 2 V x2 - 1
-1 x x
Step by Step Solution
There are 3 Steps involved in it
Get step-by-step solutions from verified subject matter experts
