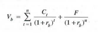
Question: V = F (1+1) Vb = =1 C + F (1+r) (1+r)

V = F (1+1)" Vb = =1 C + F (1+r) (1+r)"
Step by Step Solution
There are 3 Steps involved in it
Get step-by-step solutions from verified subject matter experts
