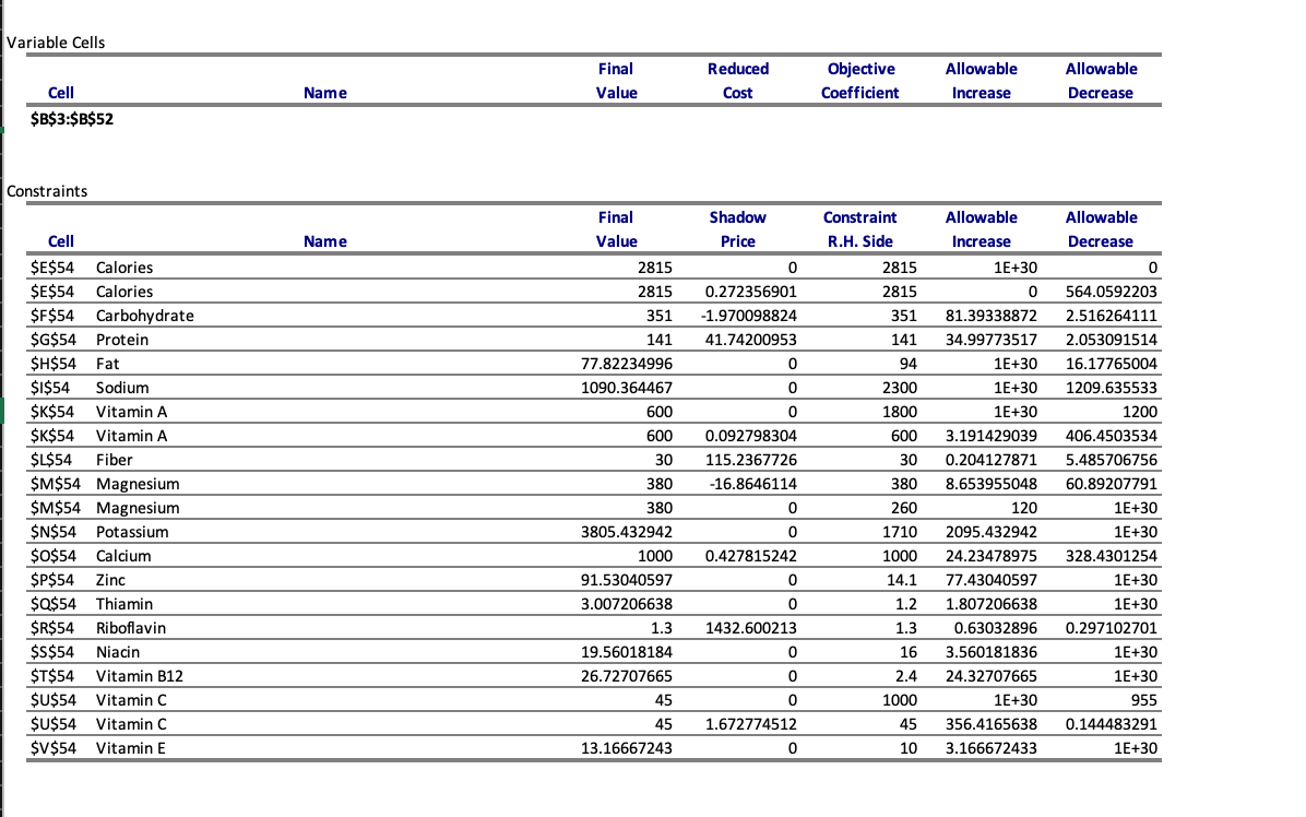
Question: Variable Cells Final Reduced Objective Allowable Allowable Cell Name Value Cost Coefficient Increase Decrease $B$3:$8$52 Constraints Final Shadow Constraint Allowable Allowable Cell Name Value Price


Variable Cells Final Reduced Objective Allowable Allowable Cell Name Value Cost Coefficient Increase Decrease $B$3:$8$52 Constraints Final Shadow Constraint Allowable Allowable Cell Name Value Price R.H. Side Increase Decrease $E$54 Calories 2815 0 2815 1E+30 0 SE$54 Calories 2815 0.272356901 2815 0 564.0592203 $F$54 Carbohydrate 351 -1.970098824 351 81.39338872 2.516264111 $G$54 Protein 141 41.74200953 141 34.99773517 2.053091514 $H$54 Fat 77.82234996 0 94 1E+30 16.17765004 $1$54 Sodium 1090.364467 0 2300 1E+30 1209.635533 $K$54 Vitamin A 600 1800 1E+30 1200 $K$54 Vitamin A 600 0.092798304 600 3.191429039 406.4503534 $L$54 Fiber 30 115.2367726 30 0.204127871 5.485706756 $M$54 Magnesium 380 16.8646114 380 8.653955048 60.89207791 $M$54 Magnesium 380 0 260 120 1E+30 $N$54 Potassium 3805.432942 0 1710 2095.432942 1E+30 $0$54 Calcium 1000 0.427815242 1000 24.23478975 328.4301254 $P$54 Zinc 91.53040597 0 14.1 77.43040597 1E+30 $Q$54 Thiamin 3.007206638 0 1.2 1.807206638 1E+30 $R$54 Riboflavin 1.3 1432.600213 1.3 0.63032896 0.297102701 $S$54 Niacin 19.56018184 0 16 3.560181836 1E+30 $T$54 Vitamin B12 26.72707665 0 2.4 24.32707665 1E+30 $U$54 Vitamin C 45 0 1000 1E+30 955 $U$54 Vitamin C 45 1.672774512 45 356.4165638 0.144483291 $V$54 Vitamin E 13.16667243 0 10 3.166672433 1E+30objective Cell (Min) Cell Name Original Value Final Value $D$54 Cost $6,429 $5,431 ariable Cells Cell Name Original Value Final Value Integer $B$3:$8$52 Constraints Cel Name Cell Value Formula Status Slack $E$54 Calories 2815 $E$54=$E$55 Binding 0 $F$54 Carbohydrate 351 $F$54=$G$55 Binding $H$54 Fat 78 $H$54=$K$55 Binding 0 $L$54 Fiber 30 $L$54>=$L$55 Binding 0 $M$54 Magnesium 380 $M$54=$M$55 Not Binding 120 $N$54 Potassium 3805 $N$54>=$N$55 Not Binding 2095 $0$54 Calcium 1000 $0$54>=$0$55 Binding 0 $P$54 Zinc 92 $P$54>=$P$55 Not Binding 77 $Q$54 Thiamin 3 $Q$54>=$0$55 Not Binding 2 $R$54 Riboflavin 1 $R$54>=$R$55 Binding 0 $S$54 Niacin 20 $5$54>=$5$55 Not Binding 4 $T$54 Vitamin B12 27 $T$54>=$T$55 Not Binding 24 $U$54 Vitamin C 45 $U$54=$U$55 Binding w O $V$54 Vitamin E 13 $V$54>=$V$55 Not Binding
Step by Step Solution
There are 3 Steps involved in it
Get step-by-step solutions from verified subject matter experts
