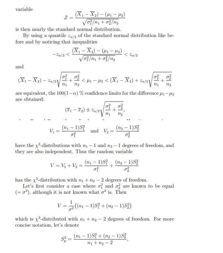
Question: variable Z = (X1 - X2) - (141 -142) Voi/m +o; is then nearly the standard normal distribution. By using a quantile za/2 of the

variable Z = (X1 - X2) - (141 -142) Voi/m +o; is then nearly the standard normal distribution. By using a quantile za/2 of the standard normal distribution like be- fore and by noticing that inequalities - 20/2
Step by Step Solution
There are 3 Steps involved in it
Get step-by-step solutions from verified subject matter experts
