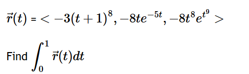
Question: vec ( r ) ( t ) = - 3 ( t + 1 ) 8 , - 8 t e - 5 t ,
vec
Find vec
Step by Step Solution
There are 3 Steps involved in it
1 Expert Approved Answer
Step: 1 Unlock
Question Has Been Solved by an Expert!
Get step-by-step solutions from verified subject matter experts
Step: 2 Unlock
Step: 3 Unlock
