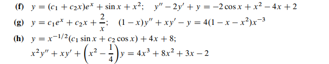
Question: Verify that the function is a solution of the differential equation on some interval, for any choice of the arbitrary constants appearing in the function.
Verify that the function is a solution of the differential equation on some interval, for any choice of the arbitrary constants appearing in the function.

\f
Step by Step Solution
There are 3 Steps involved in it
Get step-by-step solutions from verified subject matter experts
