Question: verify the inequality with out evaluating the integrals. 24 COS X dX - V/3 T 24 find the derivative of the function. g()) = [






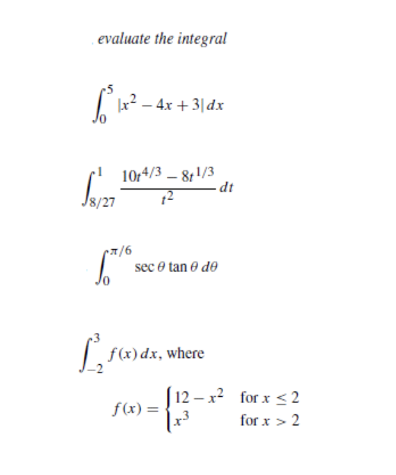
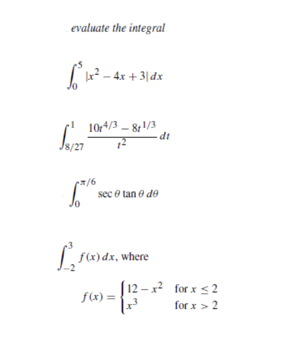
verify the inequality with out evaluating the integrals. 24 COS X dX - V/3 T 24 find the derivative of the function. g()) = [ / sin tat F(x) = * V1+ sect dt New Section 544 Page 1 y = Vt sin t dtFind the interval on which the curve y = Jo 1+ + 2 dt is concave upward. evaluate the indefinite integral. ((2-4/5 - 2 213 + 25/4) dz [+x-21x ) dx ( (1 /2 + 1) ( + 1) di 3+ 3x - 4 -dx x2 12 sec x tan x dx (csc t cott) dt sec 2 ( -30) do A survey shows that a mayoral candidate is gaining votes at a rate of 2000t + 1000 votes per day, where ? is the number of days since she announced her candidacy. How many supporters will the candidate have after 60 days, assuming that she had no supporters at f = 0?evaluate the integral -5 (x2 - 4x + 3/ dx 10/4/3 - 8+1/3 dt 18/27 *7/6 sec e tan e de o .3 f (x) dx, where f ( x ) = 12 - x2 for x $ 2 x-3 for x > 2
Step by Step Solution
There are 3 Steps involved in it
Get step-by-step solutions from verified subject matter experts
