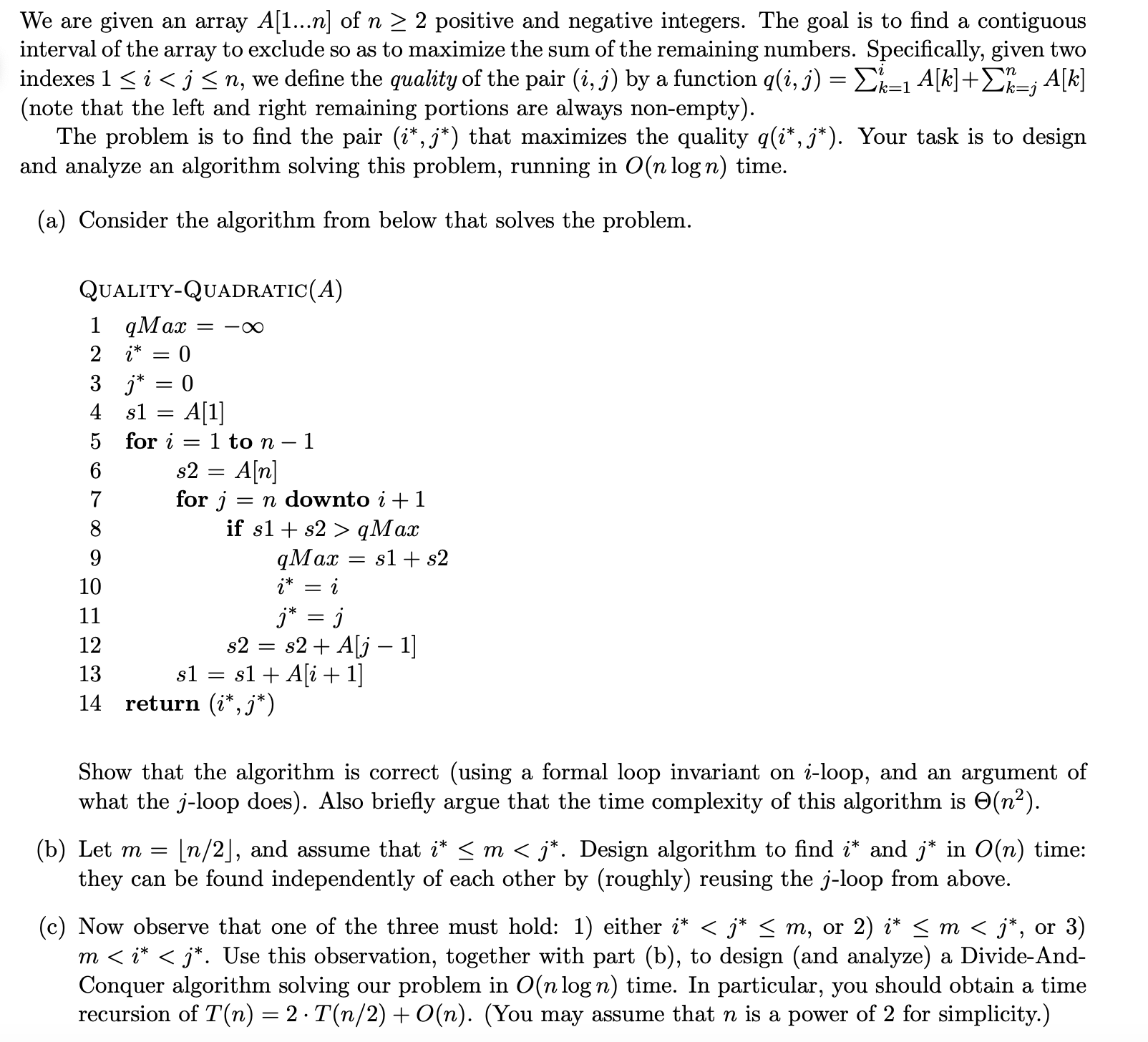
Question: We are given an array A [ 1 dotsn ] of n 2 positive and negative integers. The goal is to find a contiguous interval
We are given an array dotsn of positive and negative integers. The goal is to find a contiguous
interval of the array to exclude so as to maximize the sum of the remaining numbers. Specifically, given two
indexes Use this observation, together with part design analyze a DivideAnd
Conquer algorithm solving our problem time. particular, you should obtain a time
recursion may assume that a power for simplicity.
Step by Step Solution
There are 3 Steps involved in it
1 Expert Approved Answer
Step: 1 Unlock
Question Has Been Solved by an Expert!
Get step-by-step solutions from verified subject matter experts
Step: 2 Unlock
Step: 3 Unlock
