Question: We are using python In this assignment, you must use variables, loops, if statements, your own function definitions and function calls to write the required


We are using python
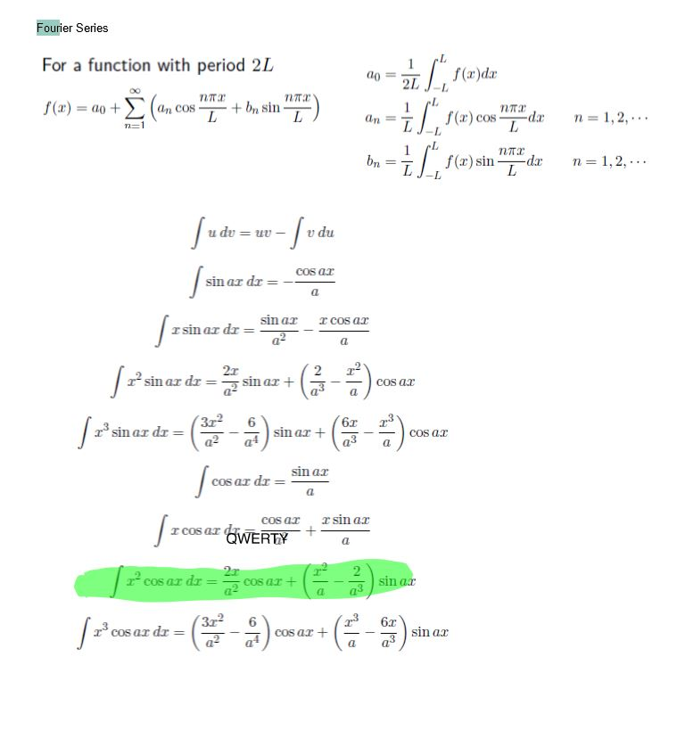
In this assignment, you must use variables, loops, if statements, your own function definitions and function calls to write the required functions. For now, you may not use any of the powerful functions available in python modules, with a few exceptions: You may import functions from the math, copy, matplotlib.plot and numpy. You may NOT use numpy.linalg.lstsq(). You may use fsolve() and quad() from scipy, but nothing else.
b) Write a program that demonstrates the Fourier Series method as defined on the MAE 3013 equation sheet. You must write and call at least the following 3 functions: def FourierCoeffs(func, L, nterms) # which calculates and returns the Fourier a's and b's # the a's and b's are each numpy arrays of length nterms # func is the name of the function. L is the half-period. # this function must call scipy.integrate.quado def PlotFourier(a, b, L, xmin, xmax npoints=5000) # which plots the Fourier Series def main0: def Sharkfin(x): ifx
Step by Step Solution
There are 3 Steps involved in it
Get step-by-step solutions from verified subject matter experts
