Question: We can represent a formula as a computation graph, which can make it easier to reason about computing gradients. The following diagram is an example
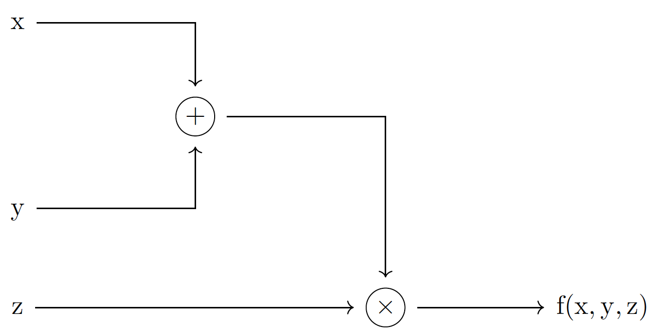
We can represent a formula as a computation graph, which can make it easier to reason about computing gradients. The following diagram is an example of the equation f(x, y, z) = (x + y)z:

In the same way, given the input
;
, draw a computation graph for
.
Note: Please use the following operations:
.
y = + f(x, y, z) = 1:00,11 w = wo, W1, W2 f( W) = 1+ WW+WW+w2 +, X, -, +1, exp
Step by Step Solution
There are 3 Steps involved in it
Get step-by-step solutions from verified subject matter experts
