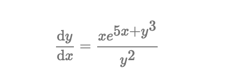
Question: We want to solve the differential equation: dy ce5C+y3
We want to solve the differential equation:







dy ce5C+y3
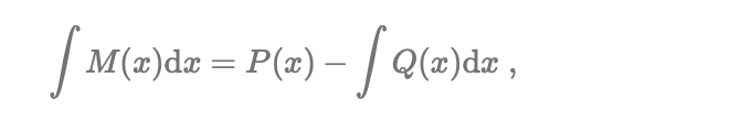
Step by Step Solution
There are 3 Steps involved in it
Get step-by-step solutions from verified subject matter experts
