Question: < > webassign.net + 0 A paper explores the relationships between age and several measures of mental health and well-being. Based on a large



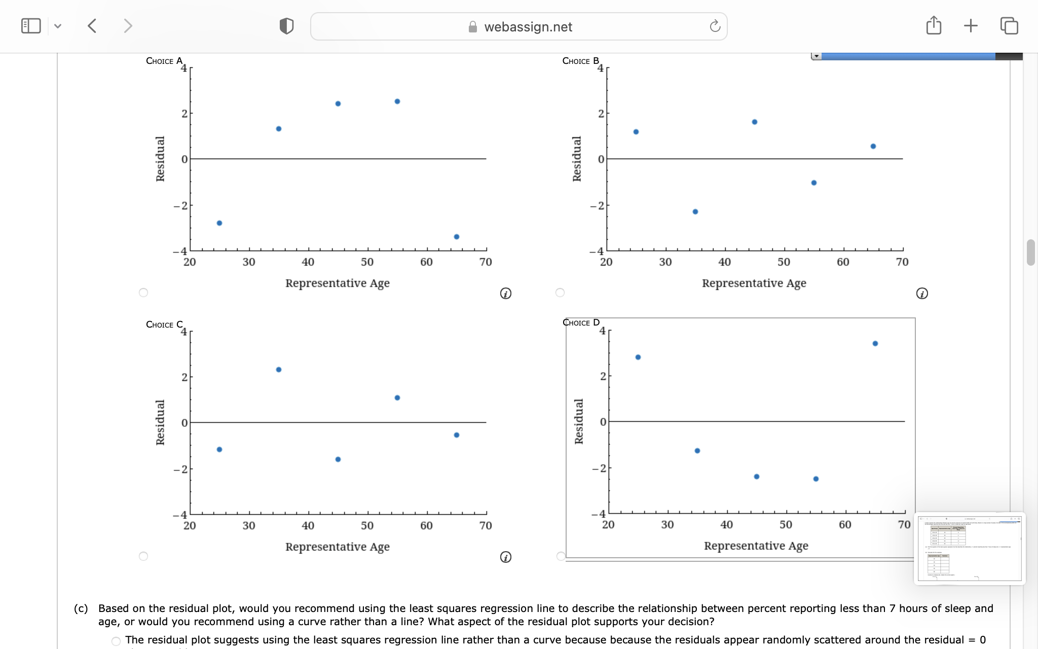
< > webassign.net + 0 A paper explores the relationships between age and several measures of mental health and well-being. Based on a large sample of people, the data in the accompanying table are the percentages reporting that they get less than 7 hours of sleep per night by age group. Age Group Representative Age Percent Reporting Less Than 7 Hours of Sleep 20 to 29 25 8 30 to 39 35 11 40 to 49 45 11 50 to 59 55 60 to 69 65 10 3 (a) Find the equation of the least squares regression line that describes the relationship y = percent reporting less than 7 hours of sleep and x = representative age. y = (b) Calculate the five residuals. Representative Age Residual 25 35 45 55 65 Construct a residual plot. (Select the correct graph.) CHOICE A CHOICE B
Step by Step Solution
There are 3 Steps involved in it
Get step-by-step solutions from verified subject matter experts
