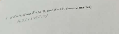
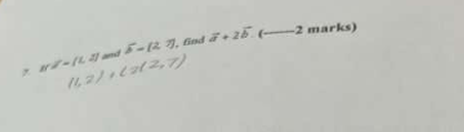
Question: wellJob-(2 7, aids . 26 (- 2 marks)


wellJob-(2 7, aids . 26 (- 2 marks)
Step by Step Solution
There are 3 Steps involved in it
1 Expert Approved Answer
Step: 1 Unlock
Question Has Been Solved by an Expert!
Get step-by-step solutions from verified subject matter experts
Step: 2 Unlock
Step: 3 Unlock
