Question: What am I doing wrong here? I can't seem to understand that. Please advise and please show and justify your reasoning. {1 point) Find the
What am I doing wrong here? I can't seem to understand that.
Please advise and please show and justify your reasoning.


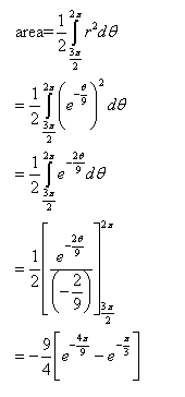
{1 point) Find the area of the region that is bounded by the polar curve r = (\"9 and lies in the sector 31:!2 5 3 5 2.1:. Area: \f
Step by Step Solution
There are 3 Steps involved in it
Get step-by-step solutions from verified subject matter experts
