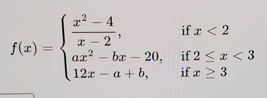
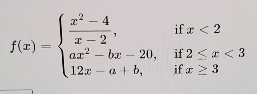
Question: What are a and b to make the function continuous 2 4 if x 4 20, 12x if x < 2 if x > 3

What are a and b to make the function continuous

2 4 if x
4 20, 12x if x < 2 if x > 3
Step by Step Solution
There are 3 Steps involved in it
Get step-by-step solutions from verified subject matter experts
