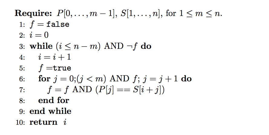
Question: What is a best-case runtime scenario? Explain. What is a worst-case runtime scenario? Explain. quire: P[O 1: f= false 2: 0 3: while (i
What is a best-case runtime scenario? Explain.
What is a worst-case runtime scenario? Explain.
quire: P[O 1: f= false 2: 0 3: while (i
Step by Step Solution
There are 3 Steps involved in it
Get step-by-step solutions from verified subject matter experts
