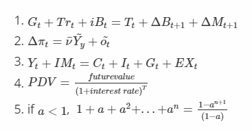
Question: What is each formula for? For example, number 3 is the IS curve and number 4 is the Present Discount Value formula. Please tell me

What is each formula for? For example, number 3 is the IS curve and number 4 is the Present Discount Value formula. Please tell me 1,2 and 5

1. G+ + TritiBe = To + ABit1 + AMt+1 2. Ant = DYy + 0 3. Y+ + IMt = Ot+ It + Gt+ EX 4. PDV = futurevalue (1 +interest rate) 5. if a
Step by Step Solution
There are 3 Steps involved in it
Get step-by-step solutions from verified subject matter experts
