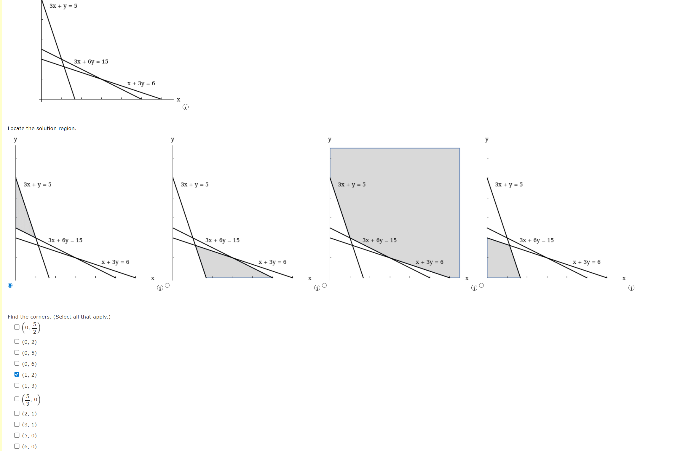
Question: what is the answer 3x + y =5 3x + 6y = 15 x + 3y =6 X A Locate the solution region. 3x +
what is the answer
3x + y =5 3x + 6y = 15 x + 3y =6 X A Locate the solution region. 3x + y = 5 3x + y = 5 3x+ y = 5 3x + y =5 3x + 6y = 15 3x + 6y = 15 3x + 6y = 15 3x + 6y = 15 x + 3y = 6 x + 3y = 6 x + 3y =6 x + 3y = 6 X A Find the corners. (Select all that apply.) O (0, 2) O ( 0, 5 ) O (0, 6) (1, 2 ) O (1, 3 ) 0 (5, 0) O ( 2, 1 ) O (3, 1) O (5, 0) O (6, 0)
Step by Step Solution
There are 3 Steps involved in it
1 Expert Approved Answer
Step: 1 Unlock
Question Has Been Solved by an Expert!
Get step-by-step solutions from verified subject matter experts
Step: 2 Unlock
Step: 3 Unlock
