Question: what is the answer from 1to 8 plz MULTIPLE CHOICE. Choose the one alternative that best completes the statement or answer the question 1) Which
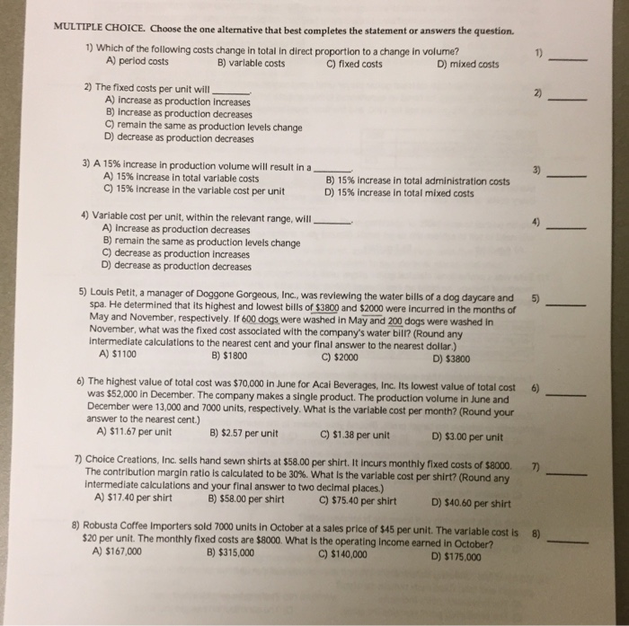
MULTIPLE CHOICE. Choose the one alternative that best completes the statement or answer the question 1) Which of the following costs change in total in direct proportion to a change in volume? A) period costs B) variable costs C) fixed costs D) mixed costs 2) The fixed costs per unit will A) increase as production increases B) Increase as production decreases C) remain the same as production levels change D) decrease as production decreases 3) A 15% increase in production volume will result in a A) 15% increase in total variable costs C) 15% increase in the variable cost per unit B) 15% increase in total administration costs D) 15% increase in total mixed costs 4) Variable cost per unit, within the relevant range, will_ A) increase as production decreases B) remain the same as production levels change C) decrease as production increases D) decrease as production decreases 5) 5) Louis Petit, a manager of Doggone Gorgeous, Inc., was reviewing the water bills of a dog daycare and spa. He determined that its highest and lowest bills of $3800 and $2000 were incurred in the months of May and November, respectively. If 600 dogs were washed in May and 200 dogs were washed in November, what was the fixed cost associated with the company's water bill? (Round any Intermediate calculations to the nearest cent and your final answer to the nearest dollar) A) $1100 B) $1800 C) $2000 D) $3800 6) 6) The highest value of total cost was $70,000 in June for Acai Beverages, Inc. Its lowest value of total cost was $52,000 in December. The company makes a single product. The production volume in June and December were 13,000 and 7000 units, respectively. What is the variable cost per month? (Round your answer to the nearest cent.) A) $11.67 per unit B) $2.57 per unit C) $1.38 per unit D) $3.00 per unit 7) 7) Choice Creations, Inc. sells hand sewn shirts at $58.00 per shirt. It incurs monthly fixed costs of $8000, The contribution margin ratio is calculated to be 30%. What is the variable cost per shirt? (Round any Intermediate calculations and your final answer to two decimal places.) A) $17.40 per shirt B) $58.00 per shirt C) 575.40 per shirt D) $40.60 per shirt 8) 8) Robusta Coffee Importers sold 7000 units in October at a sales price of $45 per unit. The variable cost is $20 per unit. The monthly fixed costs are $8000. What is the operating Income earned in October A) $167,000 B) $315,000 C) $140,000 D) $175,000 MULTIPLE CHOICE. Choose the one alternative that best completes the statement or answer the question 1) Which of the following costs change in total in direct proportion to a change in volume? A) period costs B) variable costs C) fixed costs D) mixed costs 2) The fixed costs per unit will A) increase as production increases B) Increase as production decreases C) remain the same as production levels change D) decrease as production decreases 3) A 15% increase in production volume will result in a A) 15% increase in total variable costs C) 15% increase in the variable cost per unit B) 15% increase in total administration costs D) 15% increase in total mixed costs 4) Variable cost per unit, within the relevant range, will_ A) increase as production decreases B) remain the same as production levels change C) decrease as production increases D) decrease as production decreases 5) 5) Louis Petit, a manager of Doggone Gorgeous, Inc., was reviewing the water bills of a dog daycare and spa. He determined that its highest and lowest bills of $3800 and $2000 were incurred in the months of May and November, respectively. If 600 dogs were washed in May and 200 dogs were washed in November, what was the fixed cost associated with the company's water bill? (Round any Intermediate calculations to the nearest cent and your final answer to the nearest dollar) A) $1100 B) $1800 C) $2000 D) $3800 6) 6) The highest value of total cost was $70,000 in June for Acai Beverages, Inc. Its lowest value of total cost was $52,000 in December. The company makes a single product. The production volume in June and December were 13,000 and 7000 units, respectively. What is the variable cost per month? (Round your answer to the nearest cent.) A) $11.67 per unit B) $2.57 per unit C) $1.38 per unit D) $3.00 per unit 7) 7) Choice Creations, Inc. sells hand sewn shirts at $58.00 per shirt. It incurs monthly fixed costs of $8000, The contribution margin ratio is calculated to be 30%. What is the variable cost per shirt? (Round any Intermediate calculations and your final answer to two decimal places.) A) $17.40 per shirt B) $58.00 per shirt C) 575.40 per shirt D) $40.60 per shirt 8) 8) Robusta Coffee Importers sold 7000 units in October at a sales price of $45 per unit. The variable cost is $20 per unit. The monthly fixed costs are $8000. What is the operating Income earned in October A) $167,000 B) $315,000 C) $140,000 D) $175,000
Step by Step Solution
There are 3 Steps involved in it
Get step-by-step solutions from verified subject matter experts
