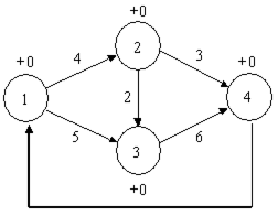
Question: What is the constraint for for node 3 in the following network flow problem? a. x13 - x23 - x34 = 0 b. x13 +
What is the constraint for for node 3 in the following network flow problem?

a. x13 - x23 - x34 = 0
b. x13 + x23 + x34 = 0
c. x13 4
d. x13 + x23 - x34 = 0
+0 +0 3 +0 1 2 5 6 3 +0 +OStep by Step Solution
There are 3 Steps involved in it
Get step-by-step solutions from verified subject matter experts
