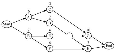
Question: What is the total project completion time? Start D 10 B E End F H

What is the total project completion time?
Start D 10 B E End F HStep by Step Solution
There are 3 Steps involved in it
1 Expert Approved Answer
Step: 1 Unlock
Question Has Been Solved by an Expert!
Get step-by-step solutions from verified subject matter experts
Step: 2 Unlock
Step: 3 Unlock
