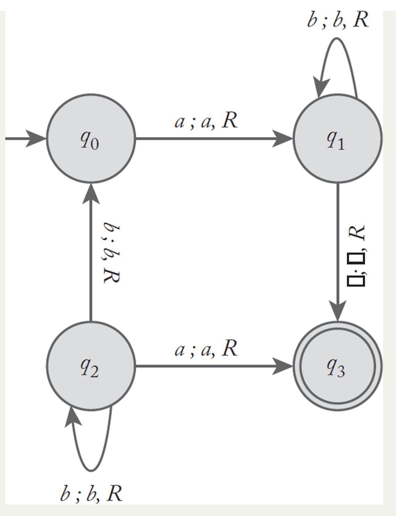
Question: What language is accepted by the Turing machine whose transition graph is in the figure below? The figure in the text has an error; the
What language is accepted by the Turing machine whose transition
graph is in the figure below? The figure in the text has an error; the transition labeled b; b R
should go from q to q Find some reasonable way to describe the language,
and be careful.
Step by Step Solution
There are 3 Steps involved in it
1 Expert Approved Answer
Step: 1 Unlock
Question Has Been Solved by an Expert!
Get step-by-step solutions from verified subject matter experts
Step: 2 Unlock
Step: 3 Unlock
