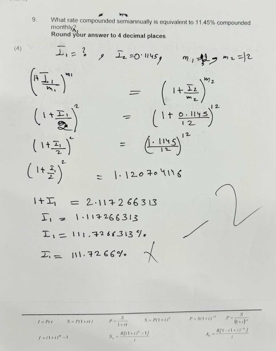
Question: What rate compounded semiannually is equivalent to 1 1 . 4 5 % compounded monthly? Round your answer to 4 decimal places. ( 4 )
What rate compounded semiannually is equivalent to compounded monthly?
Round your answer to decimal places.
Use the formula from the end of the page
Step by Step Solution
There are 3 Steps involved in it
1 Expert Approved Answer
Step: 1 Unlock
Question Has Been Solved by an Expert!
Get step-by-step solutions from verified subject matter experts
Step: 2 Unlock
Step: 3 Unlock
