Question: When you go out to your car one cold winter morning you discover a 0.80-cm thick layer of ice on the windshield, which has an






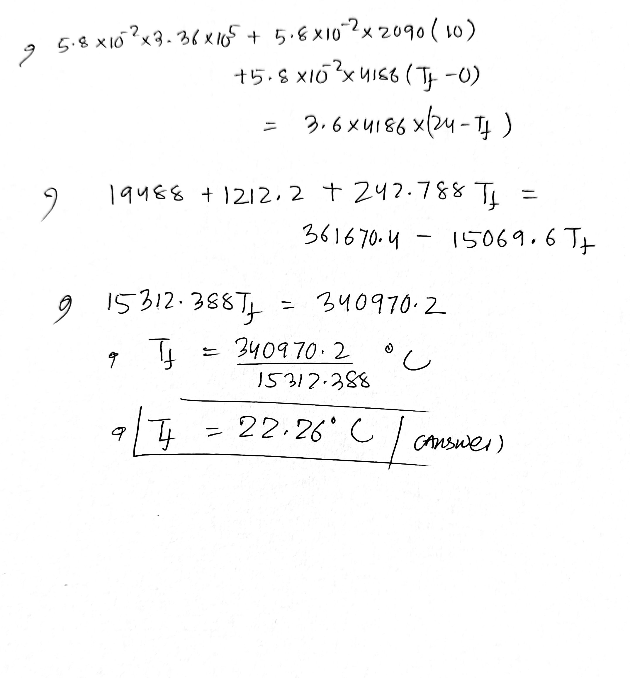
When you go out to your car one cold winter morning you discover a 0.80-cm thick layer of ice on the windshield, which has an area of 1.8 m2. It the temperature of the ice is -4.0 C, and its density is 917 kg/ma, find the heat required to melt all the ice. Express your answer using two significant figures. D View Available Hint(s) Part A A large punch bowl holds 3.60 kg of lemonade (which is essentially water) at 24.0 . C. A 5.80x10-2-kg ice cube at -10.0 C is placed in the What is the final temperature of the system? Ignore any heat exchange with the bowl or the surroundings. lemonade. View Available Hint(s) AEd ? T = . C Submit Part B Complete previous part(s)
Step by Step Solution
There are 3 Steps involved in it
Get step-by-step solutions from verified subject matter experts
