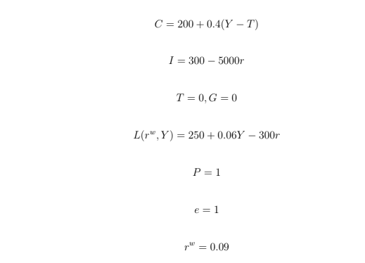
Question: where e is the fixed exchange rate. a. Derive the IS curve and compute equilibrium output and interest rate b. Derive the LM curve and

where e is the fixed exchange rate.
a. Derive the IS curve and compute equilibrium output and interest rate b. Derive the LM curve and compute equilibrium money supply c. Suppose the Central Bank revalues exchange rate from 1 to 0.85. Recalculate the equilibrium output, interest rate, and money supply d. Suppose the cCntral Bank devaluates the exchange rate from 1 to 1.3. Recalculate the equilibrium output, interest rate, and money supply
C=200+0.4(YT)I=3005000rT=0,G=0L(rw,Y)=250+0.06Y300rP=1e=1rw=0.09
Step by Step Solution
There are 3 Steps involved in it
Get step-by-step solutions from verified subject matter experts
