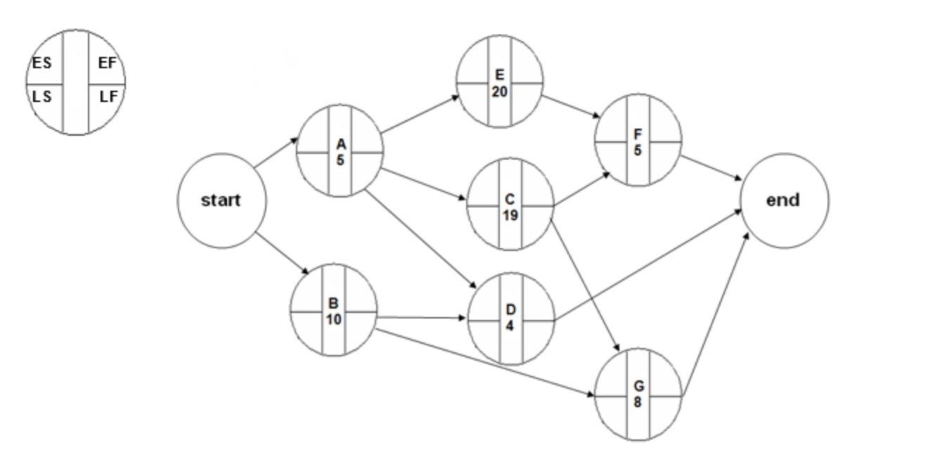
Question: Which activity has the most slack? a) Activity D b) Activity F c) Activity B d) Activity A e) Activity E 2What is activity B's
Which activity has the most slack?
a) Activity D b) Activity F c) Activity B d) Activity A e) Activity E
2What is activity B's latest start time? 3If activity E is delayed by 5 weeks (and all other activities occur at their normal duration), the project duration will a) increase by 4 weeks b) increase by 2 weeks c) increase by 3 weeks d) not change e) increase by 1 week
ES EF E LS LF start endStep by Step Solution
There are 3 Steps involved in it
Get step-by-step solutions from verified subject matter experts
