Question: Which dataset is this and apply Data cleaning, Data transformation and Feature selection: taking Diagnosis as target variable also answer the following question 1. What
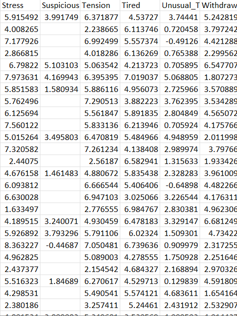
Which dataset is this and apply Data cleaning, Data transformation and Feature selection: taking "Diagnosis" as target variable
also answer the following question
1. What is the size of the dataset, and what types of variables are included? 2. What are the distributions of the variables, and are they normally distributed? 3. What are the most frequent values or categories in the dataset, and how do they relate to the target variable? 4. What are the important variables that influence the target variable? 5. Are there any correlations or patterns between the independent variables? 6. Is the dataset balanced, or is there an imbalance in the target variable distribution? 7. Are there any missing values, and if so, what is the best way to impute them? 8. Are there any outliers, and how should they be treated? 9. What is the appropriate method for feature scaling or normalization? 10. What is the best way to handle categorical variables in the model?


Step by Step Solution
There are 3 Steps involved in it
Get step-by-step solutions from verified subject matter experts
