Question: Which function ( s ) below can b e written a s a composition o f functions where ? Select all that apply. [ UCONN
Which function below can written a composition functions where Select all that apply.
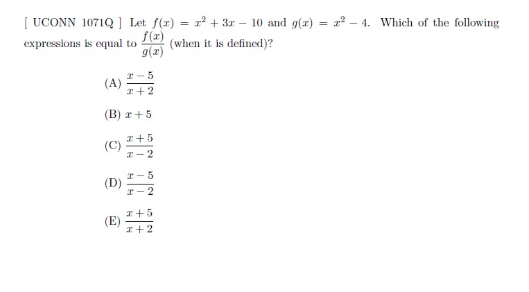
UCONN Let and Which the following
expressions equal defined
Step by Step Solution
There are 3 Steps involved in it
1 Expert Approved Answer
Step: 1 Unlock
Question Has Been Solved by an Expert!
Get step-by-step solutions from verified subject matter experts
Step: 2 Unlock
Step: 3 Unlock
