Question: Which of the graphs shown below represents the base function /(@) = x and the stretched function ( ) = 5 Q +Which of the
















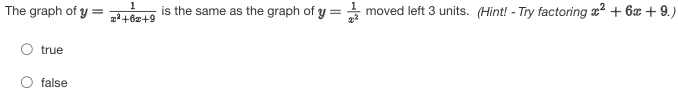
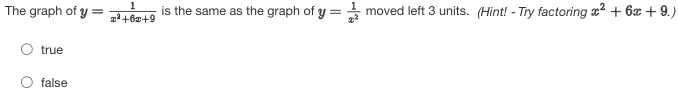
Which of the graphs shown below represents the base function /(@) = x and the stretched function ( ) = 5 Q +Which of the following statements is correct about the comparison of the graphs of y=f(x) and y= -f(-x)? O They are reflected in the y-axis. O They are reflected in the line y = x. O They are identical. O They are reflected in both the x and y axes. O They are reflected in the x-axis.Which of the following equations would move the graph of f@) = ca distance of 4 units to the left? O y= f(x +4) Oy= f(z) - 4 Oy= f(z) +4 Oy = (f(z) -4)3 Oy = 4f(x)What is the equation of the transformed function ?'(@), after it has been transformed from the function f(@) = , as shown below? -6 f(x) .10 T(x) O T(*) = (+5)3+4 O T() = (2+5)2 -4 O T(x) = (2+4)2 -5 O T(x) = (2-5)2 -4How is the graphy = ( (= - 2)) related to the graph of y = >*? I. horizontal stretch by a factor of 3 Il. vertical stretch by a factor of 3 Ill. translation of 2 units left IV. translation of 2 units right O l and IV O II and IV O I and Ill O II and Ill1 moved left 3 units. (Hint! - Try factoring x* + 6: + 9.) The graph of y = is the same as the graph of y = 1 I'+61+9 O true O false\f0 2. O 0
Step by Step Solution
There are 3 Steps involved in it
Get step-by-step solutions from verified subject matter experts
