Question: Which Stock Do I Pick? Which Stock Do I Pick? Financial Analysis Case You have just received a bonus of $10,000 (congratulations!) and you plan





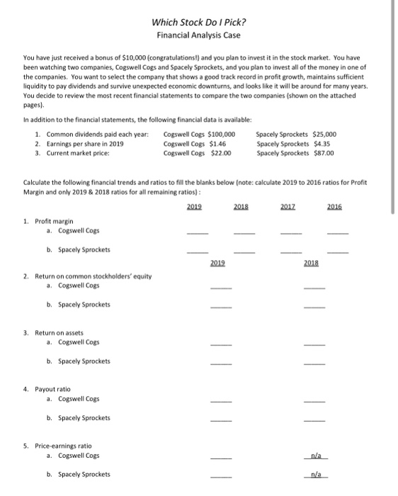
Which Stock Do I Pick? Financial Analysis Case You have just received a bonus of $10,000 (congratulations!) and you plan to invest it in the stock market. You have been watching two companies, Cogswell Cogs and Spacely Sprockets, and you plan to invest all of the money in one of the companies. You want to select the company that shows a good track record in profit growth, maintains sufficient liquidity to pay dividends and survive unexpected economic downturns, and looks like it will be around for many years. You decide to review the most recent financial statements to compare the two companies (shown on the attached pages) In addition to the financial statements, the following financial data is available: 1. Common dividends paid each year: Cogswell Cogs $100,000 Spacely Sprockets $25,000 2. Earnings per share in 2019 Cogswell Cogs $1.46 Spacely Sprockets $4.35 3. Current market price: Cogswell Cogs $22.00 Spacely Sprockets $87.00 Calculate the following financial trends and ratios to fill the blanks below (note: calculate 2019 to 2016 ratios for Profit Margin and only 2019 & 2018 ratios for all remaining ratios): 2019 2018 2012 2016 1. Profit margin a. Cogswell Cogs b. Spacely Sprockets 2012 2018 2. Return on common stockholders' equity a. Cogswell Cogs b. Spacely Sprockets 3. Return on assets a. Cogswell Cogs b. Spacely Sprockets 4. Payout ratio a. Cogswell Cogs b. Spacely Sprockets 5. Price-earnings ratio a. Cogswell Cogs nda b. Spacely Sprockets nla 2019 2018 6. Current ratio a. Cogswell Cogs b. Spacely Sprockets 7. Inventory turnover a. Cogswell Cogs b. Spacely Sprockets 8. Days in inventory a. Cogswell Cogs b. Spacely Sprockets 9. Accounts receivable turnover a. Cogswell Cogs b. Spacely Sprockets 10. Average collection period a. Cogswell Cogs b. Spacely Sprockets 11. Debt to assets ratio a. Cogswell Cogs b. Spacely Sprockets Be prepared to answer the following questions and support your answers: 1. How do the two companies compare in profitability? 2. How do the two companies compare in liquidity? 3. How do the two companies compare in solvency? 4. Which of the two companies is the most expensive relative to profits? 5. Which company would you choose to invest in? Cogswell Cogs Comparative Balance Sheets December 31 2019 2018 2017 2016 2015 Assets Cash Accounts receivable Inventory Property, plant & equipment $448,000 133,000 748,000 3,076,000 $398,000 131,000 736,000 3,013,000 $335,000 128,000 725,000 2,954,000 $282,000 126,000 710,000 2,896,000 $240,000 124,000 696,000 2,840,000 Total Assets $4,405,000 $4,278,000 $4,142,000 $4,014,000 $3,900,000 Liabilities & Stockholders' Equity Accounts payable Accrued liabilities (short-term) Bonds payable Common stock, 201,000 shares @$10 par Retained earnings $251,500 45,000 250,000 2,010,000 1,848,500 $310,250 42,000 250,000 2,010,000 1,665,750 $353,500 38,000 250,000 2,010,000 1.490,500 $347,500 36,000 300,000 2,010,000 1,320,500 $394,000 32,000 300,000 2,010,000 1,164,000 Total liablilities & stockholders' equity $4,405,000 $4,278,000 $4,142,000 $4,014,000 $3,900,000 Note: Cash dividends of $100,000 were paid out each year. Cogswell Cogs Comparative Income Statements For the Year Ended December 31 2019 $2,598,000 1,505,000 1,093,000 2018 $2,545,000 1,476,000 1,069,000 2017 $2,496,000 1,448,000 1,048,000 2016 $2,448,000 1,420,000 1,028,000 2015 $2,400,000 1,400,000 1,000,000 Net sales Cost of goods sold Gross margin Operating expenses Selling expenses Administration expenses Depreciation expense Internest expense Total operating expenses Income before income taxes Income tax expense 198,000 335,000 151,000 18,000 702,000 391,000 97,750 194,000 332,000 148,000 18,000 692,000 377,000 94,250 189,000 329,000 145,000 18,000 681,000 367,000 91,750 184,000 324,000 142,000 18,000 668,000 360,000 90,000 180,000 320,000 140,000 18,000 658,000 342,000 85,500 Net income $293.250 $282.750 $275,250 $270,000 $256.500 Spacely Sprockets Comparative Balance Sheets December 31 2019 2018 2017 2016 2015 Assets Cash Accounts receivable Inventory Property, plant & equipment $62,000 181,000 796,000 1,551,000 $96,000 142,000 614,000 1,526,000 $128,000 94,000 501,000 1.490,000 $124,000 78,000 415,000 1.448,000 $120,000 62,000 348,000 1.420,000 Total Assets $2,590,000 $2,378,000 $2,213,000 $2,065,000 $1,950,000 Liabilities & Stockholders' Equity Accounts payable Accrued liabilities (short-term) Bonds payable Common stock, 45,000 share @$45 par Retained earnings Total liablilities & stockholders' equity $250,000 24,000 250,000 900,000 1,166,000 $241,500 22,000 250,000 900,000 964,500 $226,500 21,000 250,000 900,000 815,500 $212,250 19,000 250,000 900,000 683,750 $199,000 16,000 250,000 900,000 585,000 $2.590,000 $2.378,000 $2,213,000 $2,065,000 $1.950,000 Note: Cash dividends of $25,000 were paid out each year. Spacely Sprockets Comparative Income Statements For the Year Ended December 31 2019 $1,660,000 820,000 840,000 2018 $1,520,000 802,000 718,000 2017 $1,400,000 784,000 616,000 2016 $1,290,000 722,000 568,000 2015 $1,200,000 700,000 500,000 Net sales Cost of goods sold Gross margin Operating expenses Selling expenses Administration expenses Depreciation expense Internest expense Total operating expenses Income before income taxes Income tax expense 160,000 197,000 77,000 15,000 449,000 391,000 97,750 140,000 185,000 75,000 15,000 416,000 302,000 75,500 120,000 175,000 74,000 15,000 384,000 232,000 58,000 104,000 168,000 72,000 15.000 359,000 209,000 52,250 90,000 160,000 70,000 15,000 335,000 165,000 41,250 Net income $293,250 $226,500 $174,000 $156.750 $123,750 Discuss with your group any trends that you see that indicate the companies' are getting better or worse in a financial measure. As a group, write a group narrative that answers the following questions and supports your answers (maximum limit 500 words). You do not need to submit a completed copy of the ratio worksheet - just mention any calculation results that support your position in your narrative. o How do the two companies compare in profitability? o How do the two companies compare in liquidity? o How do the two companies compare in solvency? o Which of the two companies is the most expensive relative to profits? o Which company would you choose to invest in? Financial analysis is used by managers to evaluate their business operations, by creditors to assess credit worthiness, and by investors to evaluate potential investments. In this assignment you will work with a group of fellow students (3-4 students per group) to use ratio analysis to evaluate two companies and decide which one you would choose to invest in. You will calculate ratios, discuss them with your group, prepare a group analysis and recommendation, and submit one group assignment answer to submit online
Step by Step Solution
There are 3 Steps involved in it
Get step-by-step solutions from verified subject matter experts
