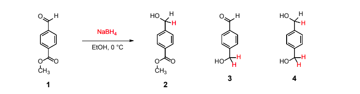
Question: Which structure is located in this IR: 2,3, or 4? H H H NaBH4 EtOH, OC - CH3 , 3 3 4 1 2 N
Which structure is located in this IR: 2,3, or 4?


H H H NaBH4 EtOH, OC - CH3 , 3 3 4 1 2 N 00 3375.37 3000 297740 2897.08 2500 Wavenumber cm-1 2000 1706.08 1614.62 1649.69-3 1578.07 1500 1415.47 148,03 1283.47 1178.48 -1194.20 1086.08 114.13 1000 1044.56 T017.56 966.85 878.94 835.51 756.13 500 470.47 429.09
Step by Step Solution
There are 3 Steps involved in it
Get step-by-step solutions from verified subject matter experts
