Question: Will LIKE the help and guidance to this: Using the data of Norge Electronics compensation (attached excel file), create a (linear) wage curve about the
Will "LIKE" the help and guidance to this:
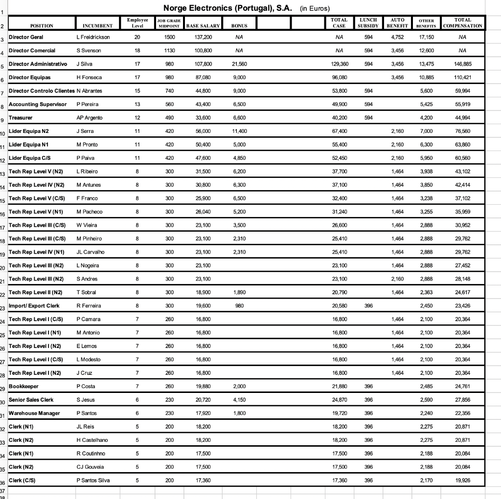
Using the data of Norge Electronics compensation (attached excel file), create a (linear) wage curve about the basic salary of Norge Electronic and copy the wage curve here. (Hint: use a scatter plot in excel).

Norge Electronics (Portugal), S.A. (in Euros) 1 Employee Level JOB GRADE MIDPOINT BASE SALARY LUNCH TOTAL CASE BASE SALARY BONUS SUBSIDY AUTO OTHER BENEFIT BENEFITS TOTAL COMPENSATION 20 1500 137,200 NA NA 594 4,752 17,150 NA 18 1130 100,800 NA NA 594 3,456 12,600 NA 17 980 107,800 21,560 129,360 594 3,456 13,475 146,885 17 980 87,080 9,000 96,080 3,456 10.885 110,421 15 740 44.800 9,000 53,800 594 5,600 59,994 13 560 43,400 6,500 49,900 594 5,425 55,919 12 490 33,600 6,600 40,200 594 4,200 44,994 11 420 56,000 11,400 67,400 2,160 7,000 76,560 2 2 POSITION INCUMBENT 3 Director Geral L Freidrickson L 4 Director Comercial S Svenson S 5 Director Administrativo Silva 6 Director Equipas H Fonseca 7 Director Controlo Clientes N Abrantes 7 8 Accounting Supervisor P Pereira 9 Treasurer AP Argento 10 Lider Equipa N2 J Serra 11 Lider Equipa N1 M Pronto M 12 Lider Equipa CIS P Paiva 13 Tech Rep Level V(N2) L L Ribeiro 14 Tech Rep Level IV (N2) M Antunes 15 Tech Rep Level V(CIS) F Franco F 76 Tech Rep Level V (N1) M Pacheco 17 Tech Rep Level III (CIS) W Vieira 18 Tech Rep Level III (C/S) M Pinheiro 19 Tech Rep Level IV (N1) JL Carvalho 20 Tech Rep Level III (N2) L Nogeira 11 420 50,400 5,000 55,400 2,160 6,300 63,860 11 420 47.600 4,850 52,450 2,160 5,950 60,560 8 300 31,500 6,200 37,700 1.464 3,938 43,102 8 300 30,800 6,300 37,100 1,464 3,850 42,414 8 300 25,900 6,500 32,400 1,464 3,238 37,102 8 300 26,040 5,200 31,240 1,464 3,255 35,959 8 300 23,100 3,500 26,600 1,464 2,888 30.952 8 300 23,100 2,310 25,410 1,464 2,888 29,762 8 300 23.100 2,310 25,410 1,464 2.888 29,762 8 300 23.100 23,100 1,464 2,888 27,452 Tech Rep Level III (N2) S Andres S 8 8 300 23,100 23,100 21 2,160 2.888 28,148 T Sobral 8 300 18,900 1,890 20,790 1,464 2,363 24,617 R Ferreira 8 300 19,600 980 20,580 396 2,450 23,426 P Camara 7 260 16,800 16,800 1,464 2.100 20,364 M Antonio 7 260 16,800 16,800 1,464 2,100 20,364 22 Tech Rep Level II (N2) 23 Import/Export Clerk 24 Tech Rep Levell(CIS) 25 Tech Rep Levell(N1) 26 Tech Rep Level I (N2) 27 Tech Rep Levell (CIS) 28 Tech Rep Level 1 (N2) 29 Bookkeeper 30 Senior Sales Clerk E Lemos 7 260 16,800 16,800 1,464 2,100 20,364 L Modesto 7 260 16,800 16,800 1,464 2,100 20,364 J Cruz 7 260 16,800 16,800 1,464 2,100 20,364 P Costa 7 260 19,880 2,000 21,880 396 2,485 24,761 S Jesus 6 230 20,720 4,150 24,870 396 2,590 27,856 Warehouse Manager P Santos 6 230 17,920 1,800 31 396 19,720 2,240 22,356 32 Clerk (N1) JL Reis 5 200 18,200 18,200 396 2,275 20,871 H Castelhano 5 200 18,200 18,200 396 2,275 20,871 33 Clerk (N2) 34 Clerk (N1) R Coutinhno 5 200 17,500 17,500 396 2,188 20.084 CJ Gouveia 5 200 17,500 35 Clerk (N2) 17,500 396 2,188 20,084 Clerk (CIS) P Santos Silva 5 200 17.360 17,360 396 2,170 19,926 36 37 38
Step by Step Solution
There are 3 Steps involved in it
Get step-by-step solutions from verified subject matter experts
