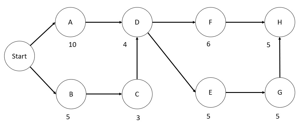
Question: Will upvote for quick answer! Please and thank you! The AON network of a project and the current activity durations (in days) are given below.
Will upvote for quick answer! Please and thank you!
The AON network of a project and the current activity durations (in days) are given below.

a.) How many Paths are there in this project? (2,3,4,5)
b.) What is the Critical path for this project? (Start A-D-F-H, Start B-C-D-F-H, Start B-C-D-E-G-H, Start A-D-E-G-H)
c.) What is the expected project duration in days?
d.) For activity D, determine ES and EF
e.) For activity B, determine the LS, and LF
f.) What is the slack time of activity C?
Step by Step Solution
There are 3 Steps involved in it
Get step-by-step solutions from verified subject matter experts
